GeoStudio排水固结沉降分析解决方案
本文以曼谷机场的地形举例,曼谷机场位于潮湿地区,在2米的地表超固结地壳下有大约10米的软粘土。硬粘土,延伸至20至24米的深度,是软粘土的基础。为便于分析,将底土划分为三层,忽略下部的硬粘土。
构建了三个PVD(预制垂直排水管)间距不同的试验堤防方案,但本文只讨论排水间距为1.5米情况。PVD排水管的安装深度为12米。筑堤高度4.2米,边坡3H:1V。
工地上放置了1米后的砂垫层作为施工工作垫层,排水管安装在砂垫层上。据推测,砂层也包括在内,以确保不会在路堤底部积聚过多的孔隙水压力,并排出从粘土中挤出的水。
砂层在模型中不作为一个单独的材料,通过指定沿地面的零压力边界条件,可以模拟砂土的作用,其物理含义是,不会在地表形成正的孔隙水压力。任何到达地表的水都有机会以某种方式通过沙子消失;边界条件模拟了这种效果。这比在模型中包含沙层要简单的多,并且实现了相同的目标。
软粘土层应用修正的剑桥本构模型,参数可以在中仿GeoStudio软件数据文件中查看,粘土基本上是正常的,只是稍微有点超固结。超固结的程度似乎随着深度而有所不同。为了便于说明,本文将粘土超固结比设定为1.5。同时对于非常软粘土和软粘土,Lambda和Kappa值是相同的,使得沉降值更接近测量值。
风化的表层粘土具有较强的固结性,因此,可以将其视为线性弹性层,使用线性-弹性本构关系也有助于保持应力接近零的地表附近的数值收敛。
将填砂体视为软线弹性材料,将土参数视为总应力参数。这样就避免了处理填充体中的孔隙水压力。我们主要针对使用填充作为负载的方法,砂土的实际应力应变相应并不十分重要,因此这些简化的假设也是可以接收的。
在这样的分析中,最关键的参数是水力传导率(渗透率系数)。根据沉积过程的性质,渗透率可以有很大的变化。此外,分层往往使渗透率在水平方向略高于垂直方向。而且,排水管的插入扰乱了排水管周围的土壤,改变了渗透率,扰动区通常称为涂抹区。
基于上述的案例背景,中仿岩土工程师利用GeoStudio软件来展示二维平面应变分析中如何调整渗透率、如何评估涂抹区厚度和渗透率、以及如何建立排水管的大小,进而对排水固结沉降等问题进行详细分析和仿真。
水流主要是水平流向排水管的,因此,大多数讨论集中在水平渗透率(Kx)上,在中仿GeoStudio软件中,垂直渗透率(Ky)与水平渗透率成比例,由于很少有或这没有垂直流动,显得不那么重要。
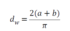
二维分析中排水管的等效厚度(dw):

a是排水管的厚度,b是宽度。因此,对于一个4毫米厚、100毫米宽的典型排水管,二维模型的厚度是66毫米,即0.06米。在中仿GeoStudio软件中,可以用0.06米厚的接口单元表示排水管。
从轴对称到平面应变渗透率转换的最简单形式:

n是排水管间距和等效排水厚度的比值,排水管间距为1.5m,等效排水厚度为0.06m,则n为25。平面应变渗透率大约是相应轴对称水平渗透率的27%。这样,在不考虑井阻作用和涂抹区效应时,很容易指出,平面应变渗透率大约是相应轴对称渗透率的四分之一。
Indraratna and Redana (2000)认为,排水管周围涂抹区半径通常是芯棒等效半径的5倍。对于45mm厚125mm宽的芯棒,等效半径为55mm。涂抹区的半径为270mm。对于二维分析,涂抹区厚度为0.54m。
Indraratna and Redana (2000)提出了一个估算涂抹区渗透率的方程,该方程涉及不同的尺寸比和电导率比。细节请查看文献。一般规律是,水平涂抹区渗透率约为水平平面应变渗透率的10%。Indraratna and Redana (2000)提出的案例中,这一比例在8-16%之间。换句话说,由于插入排水管而引起的干扰,使涂抹区渗透率降低大约一个数量级。
在层流系统中,渗流性较差的层可以迅速控制水头损失,进而控制流动行为。简单分层系统如图,其中每一段长度为1m。左端总水头为10m,右端总水头为1m,左边总水头使右边的10倍。整个系统的水头损失分布如图。注意,大部分的水头损失发生在渗透率较差的材料中,而梯度在渗透率差的材料中要高的多。换句话说,右边的低渗透率材料基本上控制了流动。

中仿技术工程师通过GeoStudio软件处理获得
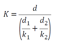
对于这样的分层系统,其等效渗透率可以通过如下计算:

如,d1为1m,d2为1m,k1为10m/s,k2为1m/s。那么混合的等效K为1.818m/s。我们可以用这些信息表示原生粘土的渗透率和涂抹区,而不是用两个单独的区域创建单独的几何区域。这使得数值模拟更加容易。
我们分析的含义是,排水管周围的涂抹区控制了多余孔隙水压力的消散,进而控制了固结速率。
Indraratna and Redana (2000)给出了他们分析中使用的渗透率表。1.5m排水管间距,渗透率如表,渗透率单位换算为了m/天。混合K的计算,基于1.5m的排水管间距和0.54m厚的涂抹区。出于讨论和理解的目的,值得注意的是,深层软粘土的渗透率比上部风化粘土低一个数量级。

随着土体的压缩和孔隙率的降低,软土的渗透率会发生显著的变化。在中仿GeoStudio软件中有一种机制,当有效应力增加时,渗透率可以随着超孔隙水压力的消散而调整。这是一种间接方法,随孔隙率的降低以调整渗透率的变化。
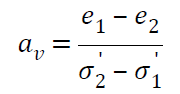
定义渗透率调整的一种方法来自于里程表的测试结果。渗透率可以为如下里程表测试中的每个负载增量计算。各荷载增量上实测的有效应力和孔隙率的变化可用于确定压缩系数:

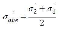
平均垂直有效应力:

对于每一个荷载增量,都有一个孔隙率与时间的关系图,可用来确定固结系数(Cv)。一旦这些值已知,可以计算渗透率:

通过这种方法,K可以通过平均垂直有效应力和每个荷载增量来确定。在中仿GeoStudio软件中,可以输入这些数据来创建如下曲线。

中仿技术工程师通过GeoStudio软件处理获得
从本质上,这张图表明,由指定的水力传导函数得到,渗透率随着有效应力的增加而降低。对于这个图,渗透率会随着垂直应力从10kpa增加到100kpa而减小一个数量级。修正值1表示测量和定义渗透率时的平均有效应力状态。
从建模的角度来看,在这种情况下,最好从分析一个单元开始。它使建模过程在解决关键问题时更容易管理。首先,我们看一个单元。
如图显示了一个1.5m排水间距的单元。排水管在单元中间。
在这种情况下,我们将该排水管视为“完美”排水管,即该排水管不存在水头损失或井阻。我们使用一个指定的边界条件来模拟这种情况,使边界条件为总水头等于12m,则压力分布在任何时候都使完全静流体力学。
回想一下,当我们指定一个节点的水头或压力时,有限元分析将计算该点的通量。所以在排水管处指定一个水头意味着水流从这些节点的系统中流出。这与真实物理过程不符,但从数值上,它相当于从排水管的顶部流出的水,在那里,水流不会造成水头损失。
顶部的孔隙水压力设置为零,表示地表的地下水位。根据上述推理,我们可以确定土壤的混合渗透率。
路基荷载可以采用压力型边界条件。在孔隙水压力允许消散的情况下,加载时间较长且不增加,而且时间可以在图标的最后300天以后运行。简单意味着,没有荷载,但孔隙水压力可以计算消散,分析持续到400天。


中仿技术工程师通过GeoStudio软件处理获得
计算得到的地表沉降如图,总沉降量越0.85m。现场实测固结400天后沉降约为1m。这表明单元模型是对实际场地条件的合理表达。

中仿技术工程师通过GeoStudio软件处理获得
另一个重要的观察结果是,最大压缩发生在非常软的土中,在0.85m的沉降中,大约90%发生在非常软的粘土中。地表超固结地壳很少发生挤压。
排水管自身实际上可以用所谓的接口单元模拟,排水管由具有自身特性的特殊有限元所包含。在这种情况下,下水稻又是被称为井。
在这个分析中,排水管(界面)被赋予了与周围土壤相同的力学性能。排水管的力学刚度对排水管的性能没有影响。井阻可以用等效水力传导率来模拟。非常高的值一维这很小或者没有井阻,低值一维这一些阻力。

这只是个粗略的估计,给我们一个关于排水管适当等效K的感念。决定尝试一下让K等于1m/天,看看是否产生排水管中水头的聚集。注意,现在没有像前面例子中那样,沿着排水管长度方向应用边界条件。
结果与讨论
下图显示在第250天,孔隙水压力最高的时候,井中存在多余的水头。井底多余的水头职于0.5m左右。同时,计算得到的地表沉降与理想排水情况基本一致。这表明,在1m/天的K值下,井阻不是影响因素。

中仿技术工程师通过GeoStudio软件处理获得
如果我们将排水管的K值降低一个数量级至0.1m/天,那么剩余水头分布如图。现在井底大约由3.5m的生于水头,总沉降量约为0.67m,而在完全排水的情况下,沉降量为0.85m。换句话说,井阻影响孔隙水压力的消散和沉降。
很难准确的量化井阻,特别是在排水管损坏或部分堵塞的情况下。这里描述的程序至少使我们由可能研究排水管中流动阻力的影响。
另一个重要的观察结果是,如果我们假设没有井阻,那么我们就可以用边界条件来模拟排水。这极大地简化了建模,特别是对于二维域的情况。
如果我们现在在二维场模型中使用与单元分析相同的属性,那么表面沉降坡面如图,路基中心线一i西安总沉降量值为1.2m。这比单胞分析计算的0.85m稍高,造成这种差异的确切原因并不完全清楚。分析之间的区别是荷载。模拟实际的填充位置会得到与单胞分析不同的加载模式,当然有一些二维的效果也会有影响。二维和单胞的结果非常相近,可以通过单胞分析得到沉降的良好图像。沉降1.2m与现场实测值较为接近。

中仿技术工程师通过GeoStudio软件处理获得
下图显示了400天结束时的变形,以1:1的比例作为变形网格。这提供了整个沉降点的情况。

中仿技术工程师通过GeoStudio软件处理获得
关于中仿科技:
中仿智能科技(上海)股份有限公司(股票简称:中仿智能,股票代码:838476)成立于2007年,是国际先进仿真技术高科技公司,服务于全球的土木交通、国防军工、教育科研等领域。
随着业务的飞速发展,中仿已拥有超过1500家用户,其中包括中交、中水电、中电建、交通部、中广核以及各大高校和中科院所、设计院所、施工厂矿等,建立了遍布全国的销售和服务网络。中仿始终与国内外最优秀的仿真技术研究机构和企业保持长期而紧密的合作关系,致力于提供世界先进的仿真技术解决方案。
中仿坚持自主创新,持续提升核心竞争力,积累了深厚的创新研发能力,并形成完备的服务体系。公司多次承担国家科技部和上海市科委研发项目,荣获国家高新技术企业、上海市“双软”认证企业等称号并入选全军武器装备采购信息名录,为国防建设提供先进的虚拟仿真技术和产品。
“仿真智领创新”是中仿的企业核心观念,也是我们坚持的产品核心价值。中仿坚持不懈地创新研发,力争成为智能仿真技术行业的典范。公司网站www.cntech.com
中仿是GeoStudio软件在中国地区授权的唯一官方合作伙伴,主要负责软件在中国的技术支持、市场推广及销售工作,多年来在水利水电、采矿、尾矿库处理、地质灾害治理、地基处理、石油天然气、煤层气、页岩气、沥青混凝土材料等领域快速发展,培育了一批又一批软件的忠实用户,同时也为用户提供完善的技术支持服务,使众多的中国相关专业工程师在国际前沿课题参与、工程设计等方面取得了长足进展。
各省份区域负责人联系方式:
张经理:17621192152【上海、浙江、广东、广西、海南、江西、福建】
丰经理:17521145176【北京、河北、天津、山东、山西、安徽、江苏、河南、黑龙江、辽宁、吉林、内蒙古】
许经理:18971301365【湖北、四川、重庆、宁夏、贵州、云南、陕西、甘肃、新疆、青海、湖南】
公司电话:021-80399555
地 址:上海市松江区九新公路1005号临港松江科技城中仿大厦 (201615)
电子邮箱:info@cntech.com
客服热线:400-888-5100
技术交流(微信):请用微信扫一扫
